在双酚A型环氧树脂中,分子量为900以上的品种在室温下均呈固态。它们的主要用途是涂料和层压材料,随着涂料工业和电子工业的迅速发展,这类树脂的性能、合成方法等日益受到人们的关注。 环氧树脂的合成方法可以归纳为一步法和二步法两大类。
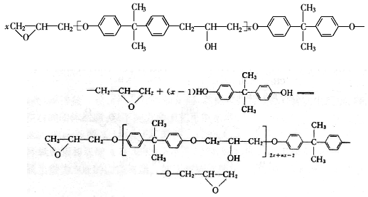
这两种方法的根本区别在于:一步法是缩聚反应;而二步法则是加成聚合反应。 一、一步合成法 它是以环氧氯丙烷和双酚A为主要原料,通过一步缩聚的方法合成固体树脂。主要反应方程式如下:
一步合成法制造中等分子量环氧树脂工艺流程见图1-2。 (一)水洗法 原料双酚A和氢氧化钠水溶液在溶解釜中溶解后送入反应釜,在一定温度下迅速地一次性加入环氧氯丙烷。控制放热反应,反应完毕后静置,使树脂和碱水分层。吸去上层碱水后用沸水洗涤除去树脂中的残碱和副产物盐类。然后经过常压、减压脱水得到产物。水洗法反应如下:
(二)溶剂法 这种方法对上述方法中后处理有了较大的改进。在静止分层吸去碱水后加入有机溶剂,明显地改善了洗涤效果。水洗涤完成后经过滤可滤去机械杂质和凝胶粒子,使产品质量有明显的提高,溶剂可回收再用。两种处理方法对树脂质量的影响见表1-5。
由于水洗法所获得的树脂色泽深并且含有微小的凝胶物(microgelatin)。而限制了它在浅色涂料、透明印刷电路板等方面的应用,尤其是在粉末涂料中树脂的微小凝胶物会影响涂膜的流平性。 由于溶剂法具有明显的优点,因此国外近年来在溶剂的选择、加入方法等方面做了大量的研究工作。目前大都倾向于在缩聚反应时就加入溶剂。像甲醇、异丙醇等醇类可以加快反应速度,提高环氧氯丙烷的利用率。但在水洗过程中醇类因溶于水而往往随废水排放而流失。所以在合成分子量在1000左右的树脂时也可加入苯、甲苯等芳香族溶剂。这样可以制得色泽很浅的产品,但在用热水水洗时溶剂挥发量大,也会造成环境污染。据日本东都化成株式会社的报道,甲基异丁基酮等酮类是较为理想的溶剂。它适宜于制造平均分子量为1000~3500的环氧树脂,且环氧氯丙烷的利用率均在97%(质量分数)以上。 尽管溶剂法有很多优点,但它毕竟会造成环境污染,因此各国科学家仍不放弃水相法合成固体环氧树脂的探索工作。 (三)悬浮法和界面缩聚法 水洗法由于缩聚反应剧烈,树脂生成后体系黏度上升很快,分子间的有效碰撞几率下降,这时就容易发生如下反应:
形成支链结构,降低了产物的柔软性和电绝缘性。尤其是合成高于水沸点,软化点在100℃以上的树脂时,搅拌更是困难。悬浮法和界面缩聚法可以解决这个问题。 悬浮法的典型文献由波兰华沙有机化学协会发表。此法是采用分散剂使树脂在水相中形成珠体,减少了机械搅拌的阻力。分散剂是聚乙烯醇、羧甲基纤维素等。在合成软化点在120℃以上的树脂时,需添加一些芳香族溶剂如二甲苯之类,用来加快反应物的扩散。 界面缩聚法,是由Dow Chemical Compony首先发表的。反应的关键设备是一个具有高速剪切力可变速搅拌的反应器。水是惟一的反应介质。其用量是环氧氯丙烷和双酚A总量的3~20倍,最高搅拌速度达到12800r/min,最低速度为227r/min。这种方法的优点是可制得比普通方法具有更低熔融黏度的高分子量以及超高分子量的环氧树脂。但是反应器很复杂,体积利用率很低,有待进一步改进。 在一步法合成中,产物分子量的大小主要依靠环氧氯丙烷与双酚A之间的摩尔比以及氢氧化钠与环氧氯丙烷之间的摩尔比调节。典型的配方及产物的物化性能见表1-6。
从表1-6可以看出,环氧氯丙烷和双酚A之间摩尔比的微小变化就会使产物的物化性能发生较大的变化。众所周知,环氧氯丙烷在碱性条件下很容易水解,因此用一步法合成90℃以上软化点的环氧树脂的稳定性很差,再加上树脂中所含的副产物氯化钠很难清除干净。基于以上原因在制造高分子量环氧树脂时都采用二步法来合成。 二、二步合成法 二步合成法制中高分子量环氧树脂工艺流程见图1-3。 二步法是以低分子量环氧树脂和双酚! 作为原料通过加成聚合制造固体树脂的方法。此法是由低分子量环氧树脂制备过程中已经过一步缩聚反应而得名。在整个反应过程中原料和产物都处于熔融状态,因此又称为熔融加成聚合。其反应方程式如下:
从上式可以看出,它和一步法合成环氧树脂的显著区别是反应中不生成氯化钠副产物,从而不需要后处理。
生成物的分子量依靠低分子量环氧树脂与双酚A的摩尔比来调节。产物的质量除了与双酚A 的质量有密切关系外,还与低分子量环氧树脂中的杂质含量和所采用的催化剂的种类有关。 早期的国外专利中曾介绍过不用催化剂来进行二步法反应。例如:环氧树脂(分子量1400,环氧当量970g/mol)100g和双酚A 5g,在200℃下反应2h可以制得软化点为130℃、分子量2900和环氧当量2000g/mol左右的树脂。
但是由于副反应的存在,生成物中含有支链结构,不仅环氧值偏低,而且溶解性很差,更有甚者反应中发生交联反应。歧化反应方程式:
(一)催化剂的种类及其特性 为了解决这个问题科学家们积极地探索催化剂,促使环氧基和酚羟基在较低的温度下开环反应,来抑制上述歧化反应的发生。至今可使用的催化剂有下列几种无机碱、无机盐、胺类、季铵盐和三苯基膦衍生物等。 (1)无机碱、无机盐无机碱和盐是最早被人们采用的催化剂,其反应活性很大,代表品种为LiOH、LiCl、CaCl2。 氯化锂用量≥0.02%,树脂就会发生交联,一般用量为双酚A的60μl/L以下。其用量对产物软化点的影响可用表1-7表示。
用无机碱、盐作催化剂的优点是使反应产物的色泽很浅,但产物的热稳定性和粘接性比较差。 (2)胺类、季铵盐伯、仲、叔胺作催化剂,其优点是在130℃就发生反应,制得环氧当量为500左右的固体树脂,以下配方和工艺可供参考: Epon 828 380g,双酚A 114g;正丁基胺 1.59g。 先将环氧树脂和双酚A在120℃下混合均匀,随后加入正丁基胺,在125℃下反应1h,可得到环氧当量为506的固体树脂。如用叔胺作催化剂,按表1-8所列条件也能得到相同的结果。
六氢吡啶也可以作为催化剂,使环氧当量为500mol/g左右的固体树脂和双酚A反应制得环氧当量为1800~4000mol/g的高分子量环氧树脂。 伯、叔胺作为催化剂的缺点是它们促使环氧基与环氧树脂中的醇产生羟基反应。 季铵盐是良好的催化剂,它所引起的副反应较小,可用来制备环氧当量为500~4000mol/g的各种固体树脂,它的用量(以双酚A为基准)为0.05%~0.5%(质量分数)。四甲基氯化铵是这种催化剂的典型代表。但它的缺点是生成的树脂色泽偏深。 (3)三苯基膦及其衍生物三苯基膦、乙基三苯基溴化膦等都是很有效的催化剂。它们的优点在于对环氧基和酚羟基的反应有强选择性。因此副反应少,产物的分子量分布窄。生成的高分子量环氧树脂,即使在200℃以上高温保持数小时,其环氧值、软化点、溶液的黏度基本保持不变,且显示了良好的热稳定性。 这种催化剂在低分子量液体环氧树脂呻有良好的溶解性和稳定性。如果含有三苯基膦衍生物的树脂在50℃保温5周的话,树脂的环氧值基本上无变化。瑞士的CIBAGEIGY公司和美国的Dow Chemical Co.公司利用这些特性配制了一系列含不同含量三苯基膦衍生物的液体环氧树脂作为商品,并且各自用这种催化剂制出性能优异的高分子量环氧树脂。 (二)基础树脂对产物性能的影响 (1)基础树脂对分子量及分子量分布的影响基础树脂的分子量及分子量分布从理论上说,任何分子量的环氧树脂都能与双酚A反应生成更大分子量的环氧树脂。但是,分子量越大的环氧树脂,其分子量分布越宽。如果以此作基础树脂通过二步法制得的高分子量环氧树脂分子量分布将会更宽,造成产品质量在很大范围内波动。相反,分子量越小的环氧树脂,分子量分布越窄,与双酚A加成聚合后的产物的分子量分布相应来说处于一定范围之内,因此质量相对稳定。表1-9为几个酚醛树脂品种分子量分布情况。
在国外先进的企业中绝大多数采用分子量最小的环氧树脂作为基础树脂来合成固体树脂,主要是为了尽量使分子量分布窄。 (2)基础树脂中杂质含量的影响低分子量环氧树脂中由于金属离子的混入,闭环反应得不完全,副产物的残留使树脂含有钠离子、钾离子、氯离子等。在合成高分子量环氧树脂时这些杂质都会引起副反应,这给产品质量带来影响。 ①浆钾、钠离子含量二步法合成固体树脂所用的催化剂都呈碱性,树脂中混杂的钾、钠离子含量达到50μl/L,就会使反应速度加快。可以认为,在钾、钠离子存在时,环氧基和羟基的反应是离子型的,通过烷氧离子进行反应,其反应式如下:
新产生的烷氧基可以打开第二个环氧基。 随着树脂中钾、钠离子含量的增多,反应会越来越快,以致失控而发生树脂的交联。 ②浆可水解的氯离子的影响如果用叔胺作为催化剂的话,树脂中的可水解氯容易和叔胺形成络合物使催化剂活性下降,从而影响反应完善程度。另外,可水解氯离子实质是树脂中的氯醇醚,它在催化剂的作用下也会与环氧基进行反应,形成支链结构,其反应式如下:
这种支链结构达到一定量能使树脂浑浊不清,甚至形成不能溶于溶剂的凝胶物。 从表1-10所列出的数据来看,随着基础树脂中可水解氯值的增高,产物的实测环氧值与理论值之间的差值会越来越大。色泽也变深,溶解性变差,溶液透明度下降,因此控制基础树脂的可水解氯值是一个不可忽视的问题。
综上所述,一步法和二步法合成固体环氧树脂的化学反应是截然不同的两种方法。它们的特点和局限性可从表1-11中明显地看出。
环体的结构示意式如下:
其中ECH为环氧氯丙烷,BPA为双酚A。 从经济角度来分析,中等分子量的树脂采用一步法来合成还是比较适宜的。反应时或后处理时用适当的溶剂来改善反应和提高洗涤效果,这种方法必将被普遍采用。 二步法是合成分子量2000以上高分子量环氧树脂的最主要的方法。选择高效催化剂和解决环体的生成问题仍是热门的研究课题。 中等分子量固体环氧树脂的连续合成方法近年来屡有报道,并在不少国家已经实现了工业化生产。但有关二步法合成固体高分子量环氧树脂连续化生产方法和装置的报道还很少,仍处于开发过程中。但可以预见* 在不久的将来就会实现工业化生产。我国在这方面的差距很大,需要引起足够的重视。 |


















